RXS0603+42-S IR detection object #4041

Color images and BPZ results
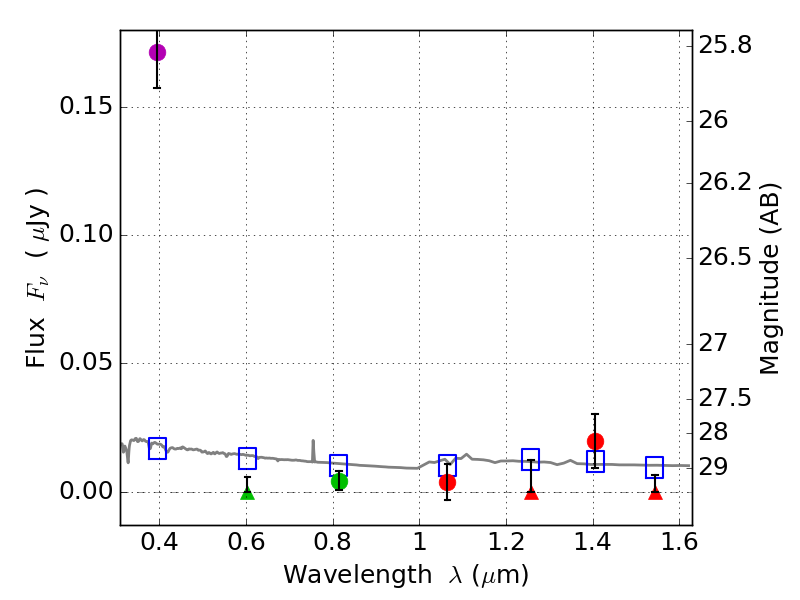
Catalog: 4041.cat
Black segments are analyzed here.   Roll mouse over color images to view segments.
Best viewed in a wide browser window (1200 pixels or more).   Download SED & P(z) plots to view larger versions.
In P(z) plots: Yellow lines mark the cluster redshift z = 0.228,  

Object #4041   x,y = (2828, 2570)   RA, Dec = (06:03:24.648, 42:10:00.48) = (90.85270, 42.16680)   BPZ = 1.696 [0.770--2.430]   type = 11.00 (SB11_A_0_l)   stellarity = 0.59   chisq2 = 33.05   ODDS = 0.33   z_cluster = 0.228