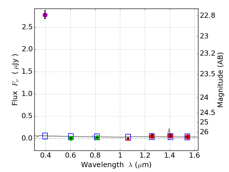
RXS0603+42-S IR detection object #4032

Color images and BPZ results
Catalog: 4032.cat
Black segments are analyzed here.   Roll mouse over color images to view segments.
Best viewed in a wide browser window (1200 pixels or more).   Download SED & P(z) plots to view larger versions.
In P(z) plots: Yellow lines mark the cluster redshift z = 0.228,  

Object #4032   x,y = (2888, 2572)   RA, Dec = (06:03:24.312, 42:10:00.84) = (90.85130, 42.16690)   BPZ = 1.789 [1.017--2.284]   type = 11.00 (SB11_A_0_l)   stellarity = 0.96   chisq2 = 239.40   ODDS = 0.32   z_cluster = 0.228