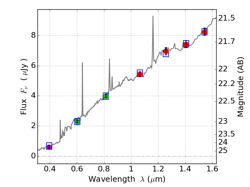
RXS0603+42-S IR detection object #4000

Color images and BPZ results
Catalog: 4000.cat
Black segments are analyzed here.   Roll mouse over color images to view segments.
Best viewed in a wide browser window (1200 pixels or more).   Download SED & P(z) plots to view larger versions.
In P(z) plots: Yellow lines mark the cluster redshift z = 0.228,  

Object #4000   x,y = (2942, 2456)   RA, Dec = (06:03:24.024, 42:09:53.64) = (90.85010, 42.16490)   BPZ = 0.282 [0.120--0.410]   type = 6.70 (Scd_B10 - Sbc_B10)   stellarity = 0.00   chisq2 = 0.02   ODDS = 0.51   z_cluster = 0.228