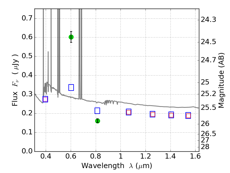
RXS0603+42-S IR detection object #3975

Color images and BPZ results
Catalog: 3975.cat
Black segments are analyzed here.   Roll mouse over color images to view segments.
Best viewed in a wide browser window (1200 pixels or more).   Download SED & P(z) plots to view larger versions.
In P(z) plots: Yellow lines mark the cluster redshift z = 0.228,  

Object #3975   x,y = (4154, 2596)   RA, Dec = (06:03:17.496, 42:10:01.92) = (90.82290, 42.16720)   BPZ = 0.017 [0.010--0.037]   type = 11.00 (SB11_A_0_l)   stellarity = 0.99   chisq2 = 57.85   ODDS = 1.00   z_cluster = 0.228