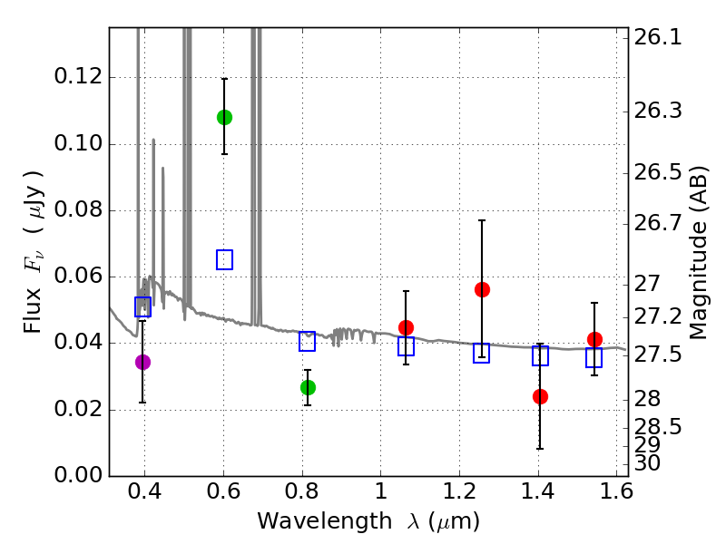
RXS0603+42-S IR detection object #3973

Color images and BPZ results
Catalog: 3973.cat
Black segments are analyzed here.   Roll mouse over color images to view segments.
Best viewed in a wide browser window (1200 pixels or more).   Download SED & P(z) plots to view larger versions.
In P(z) plots: Yellow lines mark the cluster redshift z = 0.228,  

Object #3973   x,y = (2962, 2595)   RA, Dec = (06:03:23.928, 42:10:01.92) = (90.84970, 42.16720)   BPZ = 0.026 [0.012--2.977]   type = 11.00 (SB11_A_0_l)   stellarity = 0.37   chisq2 = 5.07   ODDS = 0.47   z_cluster = 0.228