RXS0603+42-S IR detection object #3878

Color images and BPZ results
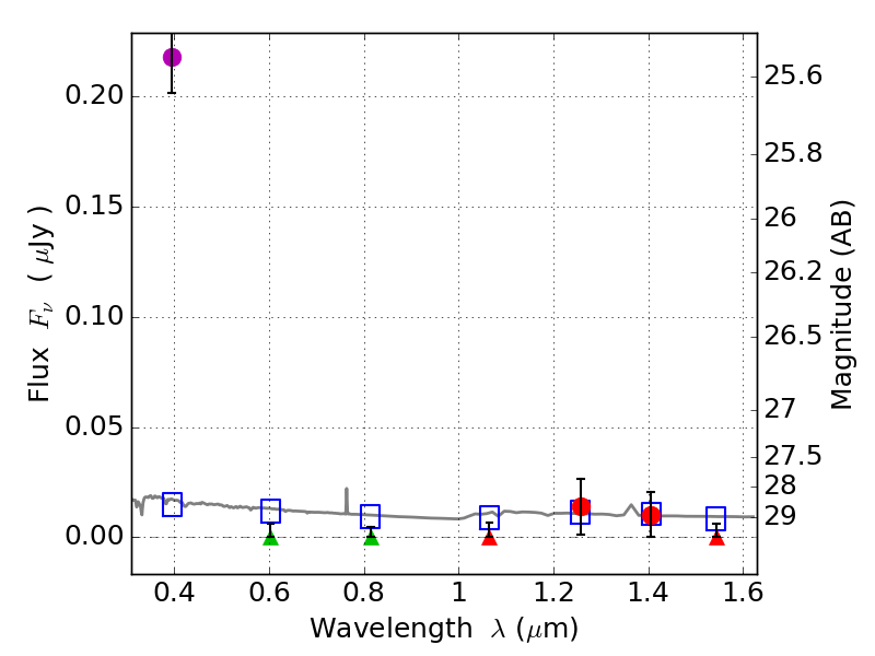
Catalog: 3878.cat
Black segments are analyzed here.   Roll mouse over color images to view segments.
Best viewed in a wide browser window (1200 pixels or more).   Download SED & P(z) plots to view larger versions.
In P(z) plots: Yellow lines mark the cluster redshift z = 0.228,  

Object #3878   x,y = (2560, 2654)   RA, Dec = (06:03:26.088, 42:10:05.52) = (90.85870, 42.16820)   BPZ = 1.727 [0.546--2.815]   type = 11.00 (SB11_A_0_l)   stellarity = 0.59   chisq2 = 40.06   ODDS = 0.27   z_cluster = 0.228