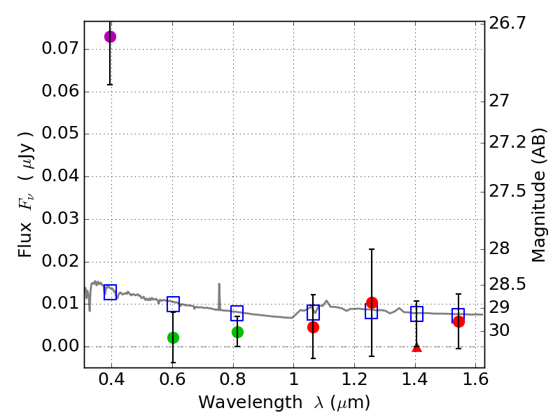
RXS0603+42-S IR detection object #3856

Color images and BPZ results
Catalog: 3856.cat
Black segments are analyzed here.   Roll mouse over color images to view segments.
Best viewed in a wide browser window (1200 pixels or more).   Download SED & P(z) plots to view larger versions.
In P(z) plots: Yellow lines mark the cluster redshift z = 0.228,  

Object #3856   x,y = (2017, 2664)   RA, Dec = (06:03:29.016, 42:10:06.24) = (90.87090, 42.16840)   BPZ = 1.701 [0.408--4.288]   type = 11.00 (SB11_A_0_l)   stellarity = 0.35   chisq2 = 7.94   ODDS = 0.16   z_cluster = 0.228