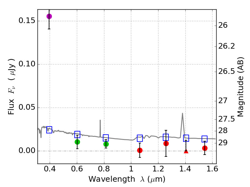
RXS0603+42-S IR detection object #3850

Color images and BPZ results
Catalog: 3850.cat
Black segments are analyzed here.   Roll mouse over color images to view segments.
Best viewed in a wide browser window (1200 pixels or more).   Download SED & P(z) plots to view larger versions.
In P(z) plots: Yellow lines mark the cluster redshift z = 0.228,  

Object #3850   x,y = (2460, 2668)   RA, Dec = (06:03:26.640, 42:10:06.24) = (90.86100, 42.16840)   BPZ = 1.763 [0.858--2.423]   type = 11.00 (SB11_A_0_l)   stellarity = 0.57   chisq2 = 21.74   ODDS = 0.35   z_cluster = 0.228