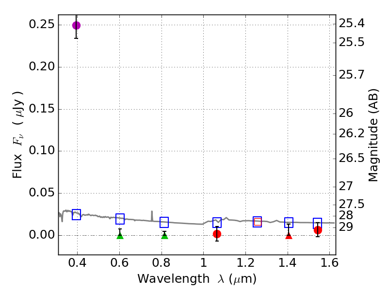
RXS0603+42-S IR detection object #3671

Color images and BPZ results
Catalog: 3671.cat
Black segments are analyzed here.   Roll mouse over color images to view segments.
Best viewed in a wide browser window (1200 pixels or more).   Download SED & P(z) plots to view larger versions.
In P(z) plots: Yellow lines mark the cluster redshift z = 0.228,  

Object #3671   x,y = (1866, 2760)   RA, Dec = (06:03:29.832, 42:10:12.00) = (90.87430, 42.17000)   BPZ = 1.699 [1.175--2.239]   type = 11.00 (SB11_A_0_l)   stellarity = 0.82   chisq2 = 74.33   ODDS = 0.44   z_cluster = 0.228