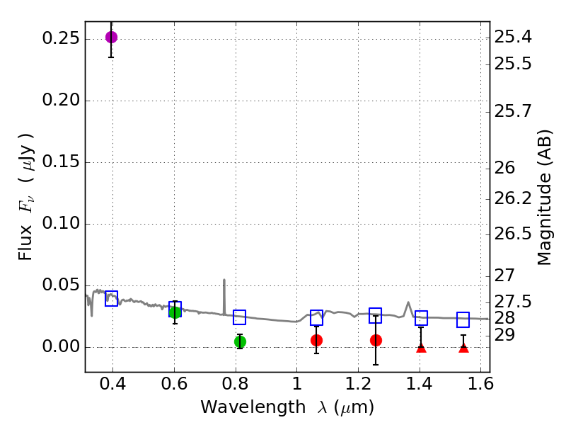
RXS0603+42-S IR detection object #3668

Color images and BPZ results
Catalog: 3668.cat
Black segments are analyzed here.   Roll mouse over color images to view segments.
Best viewed in a wide browser window (1200 pixels or more).   Download SED & P(z) plots to view larger versions.
In P(z) plots: Yellow lines mark the cluster redshift z = 0.228,  

Object #3668   x,y = (3412, 2759)   RA, Dec = (06:03:21.504, 42:10:12.00) = (90.83960, 42.17000)   BPZ = 1.732 [1.461--2.145]   type = 11.00 (SB11_A_0_l)   stellarity = 0.56   chisq2 = 43.30   ODDS = 0.56   z_cluster = 0.228