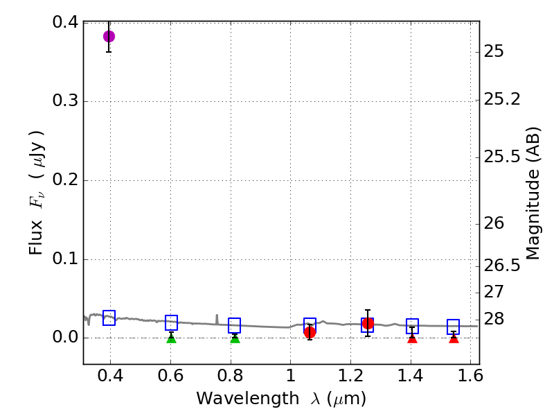
RXS0603+42-S IR detection object #3501

Color images and BPZ results
Catalog: 3501.cat
Black segments are analyzed here.   Roll mouse over color images to view segments.
Best viewed in a wide browser window (1200 pixels or more).   Download SED & P(z) plots to view larger versions.
In P(z) plots: Yellow lines mark the cluster redshift z = 0.228,  

Object #3501   x,y = (2103, 2829)   RA, Dec = (06:03:28.560, 42:10:15.96) = (90.86900, 42.17110)   BPZ = 1.700 [1.079--2.209]   type = 11.00 (SB11_A_0_l)   stellarity = 0.73   chisq2 = 81.84   ODDS = 0.48   z_cluster = 0.228