RXS0603+42-S IR detection object #3487

Color images and BPZ results
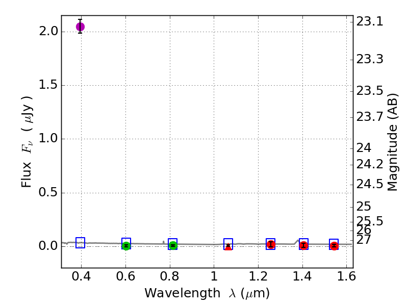
Catalog: 3487.cat
Black segments are analyzed here.   Roll mouse over color images to view segments.
Best viewed in a wide browser window (1200 pixels or more).   Download SED & P(z) plots to view larger versions.
In P(z) plots: Yellow lines mark the cluster redshift z = 0.228,  

Object #3487   x,y = (2004, 2834)   RA, Dec = (06:03:29.088, 42:10:16.32) = (90.87120, 42.17120)   BPZ = 1.762 [0.829--2.417]   type = 11.00 (SB11_A_0_l)   stellarity = 1.00   chisq2 = 242.90   ODDS = 0.33   z_cluster = 0.228