RXS0603+42-S IR detection object #3457

Color images and BPZ results
Catalog: 3457.cat
Black segments are analyzed here.   Roll mouse over color images to view segments.
Best viewed in a wide browser window (1200 pixels or more).   Download SED & P(z) plots to view larger versions.
In P(z) plots: Yellow lines mark the cluster redshift z = 0.228,  

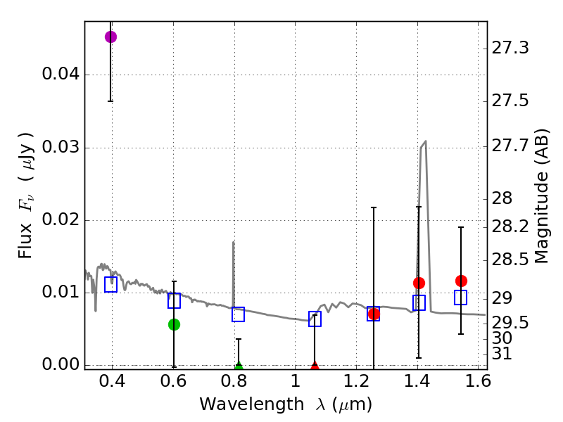
Object #3457   x,y = (3321, 2850)   RA, Dec = (06:03:21.984, 42:10:17.40) = (90.84160, 42.17150)   BPZ = 1.854 [0.484--5.562]   type = 11.00 (SB11_A_0_l)   stellarity = 0.35   chisq2 = 4.85   ODDS = 0.15   z_cluster = 0.228