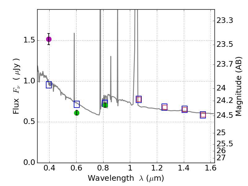
RXS0603+42-S IR detection object #3453

Color images and BPZ results
Catalog: 3453.cat
Black segments are analyzed here.   Roll mouse over color images to view segments.
Best viewed in a wide browser window (1200 pixels or more).   Download SED & P(z) plots to view larger versions.
In P(z) plots: Yellow lines mark the cluster redshift z = 0.228,  

Object #3453   x,y = (4085, 2842)   RA, Dec = (06:03:17.856, 42:10:16.68) = (90.82440, 42.17130)   BPZ = 1.093 [1.000--1.225]   type = 11.00 (SB11_A_0_l)   stellarity = 0.78   chisq2 = 38.88   ODDS = 0.86   z_cluster = 0.228