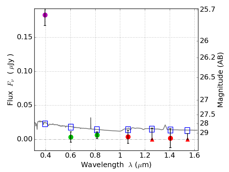
RXS0603+42-S IR detection object #3376

Color images and BPZ results
Catalog: 3376.cat
Black segments are analyzed here.   Roll mouse over color images to view segments.
Best viewed in a wide browser window (1200 pixels or more).   Download SED & P(z) plots to view larger versions.
In P(z) plots: Yellow lines mark the cluster redshift z = 0.228,  

Object #3376   x,y = (1735, 2885)   RA, Dec = (06:03:30.552, 42:10:19.56) = (90.87730, 42.17210)   BPZ = 1.732 [0.759--2.418]   type = 11.00 (SB11_A_0_l)   stellarity = 0.58   chisq2 = 28.18   ODDS = 0.34   z_cluster = 0.228