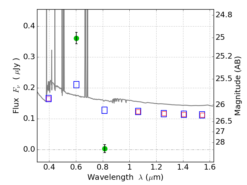
RXS0603+42-S IR detection object #3310

Color images and BPZ results
Catalog: 3310.cat
Black segments are analyzed here.   Roll mouse over color images to view segments.
Best viewed in a wide browser window (1200 pixels or more).   Download SED & P(z) plots to view larger versions.
In P(z) plots: Yellow lines mark the cluster redshift z = 0.228,  

Object #3310   x,y = (4286, 2920)   RA, Dec = (06:03:16.776, 42:10:21.36) = (90.81990, 42.17260)   BPZ = 0.018 [0.010--0.038]   type = 11.00 (SB11_A_0_l)   stellarity = 0.99   chisq2 = 85.00   ODDS = 1.00   z_cluster = 0.228