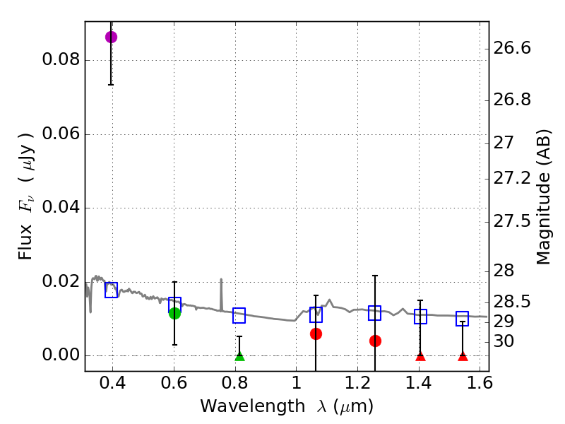
RXS0603+42-S IR detection object #3001

Color images and BPZ results
Catalog: 3001.cat
Black segments are analyzed here.   Roll mouse over color images to view segments.
Best viewed in a wide browser window (1200 pixels or more).   Download SED & P(z) plots to view larger versions.
In P(z) plots: Yellow lines mark the cluster redshift z = 0.228,  

Object #3001   x,y = (2065, 3050)   RA, Dec = (06:03:28.776, 42:10:29.28) = (90.86990, 42.17480)   BPZ = 1.701 [0.406--3.547]   type = 11.00 (SB11_A_0_l)   stellarity = 0.35   chisq2 = 8.31   ODDS = 0.21   z_cluster = 0.228