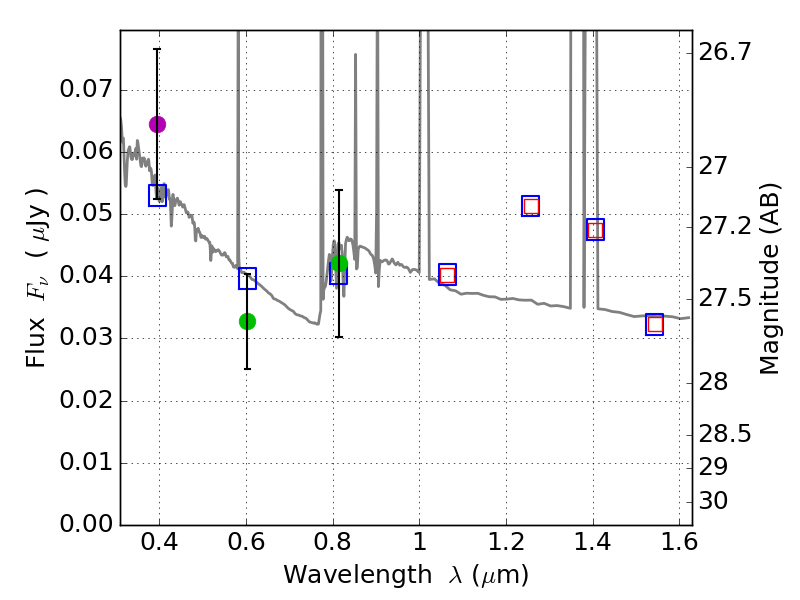
RXS0603+42-S IR detection object #2562

Color images and BPZ results
Catalog: 2562.cat
Black segments are analyzed here.   Roll mouse over color images to view segments.
Best viewed in a wide browser window (1200 pixels or more).   Download SED & P(z) plots to view larger versions.
In P(z) plots: Yellow lines mark the cluster redshift z = 0.228,  

Object #2562   x,y = (4110, 3270)   RA, Dec = (06:03:17.736, 42:10:42.60) = (90.82390, 42.17850)   BPZ = 1.084 [0.539--2.377]   type = 11.00 (SB11_A_0_l)   stellarity = 0.37   chisq2 = 1.53   ODDS = 0.13   z_cluster = 0.228