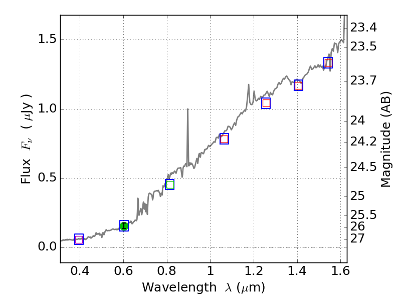
RXS0603+42-S IR detection object #2524

Color images and BPZ results
Catalog: 2524.cat
Black segments are analyzed here.   Roll mouse over color images to view segments.
Best viewed in a wide browser window (1200 pixels or more).   Download SED & P(z) plots to view larger versions.
In P(z) plots: Yellow lines mark the cluster redshift z = 0.228,  

Object #2524   x,y = (4407, 3268)   RA, Dec = (06:03:16.128, 42:10:42.24) = (90.81720, 42.17840)   BPZ = 0.789 [0.203--5.054]   type = 6.30 (Sbc_B10 - Scd_B10)   stellarity = 0.02   chisq2 = 990.00   ODDS = 0.08   z_cluster = 0.228