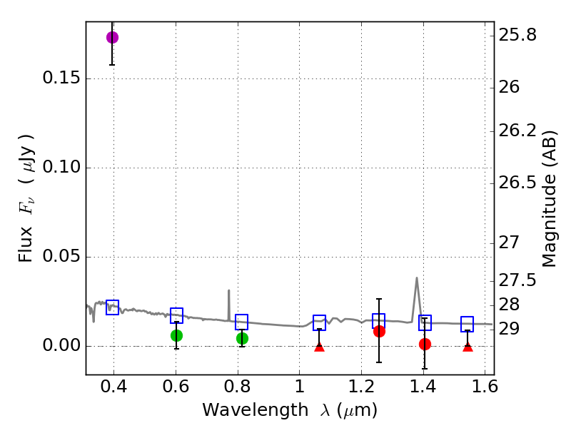
RXS0603+42-S IR detection object #2393

Color images and BPZ results
Catalog: 2393.cat
Black segments are analyzed here.   Roll mouse over color images to view segments.
Best viewed in a wide browser window (1200 pixels or more).   Download SED & P(z) plots to view larger versions.
In P(z) plots: Yellow lines mark the cluster redshift z = 0.228,  

Object #2393   x,y = (2586, 3348)   RA, Dec = (06:03:25.944, 42:10:47.28) = (90.85810, 42.17980)   BPZ = 1.763 [0.787--2.460]   type = 11.00 (SB11_A_0_l)   stellarity = 0.43   chisq2 = 25.56   ODDS = 0.32   z_cluster = 0.228