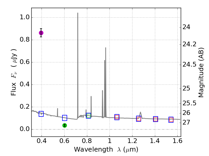
RXS0603+42-S IR detection object #2372

Color images and BPZ results
Catalog: 2372.cat
Black segments are analyzed here.   Roll mouse over color images to view segments.
Best viewed in a wide browser window (1200 pixels or more).   Download SED & P(z) plots to view larger versions.
In P(z) plots: Yellow lines mark the cluster redshift z = 0.228,  

Object #2372   x,y = (4313, 3360)   RA, Dec = (06:03:16.632, 42:10:48.00) = (90.81930, 42.18000)   BPZ = 0.930 [0.901--1.643]   type = 11.00 (SB11_A_0_l)   stellarity = 0.65   chisq2 = 374.50   ODDS = 0.57   z_cluster = 0.228