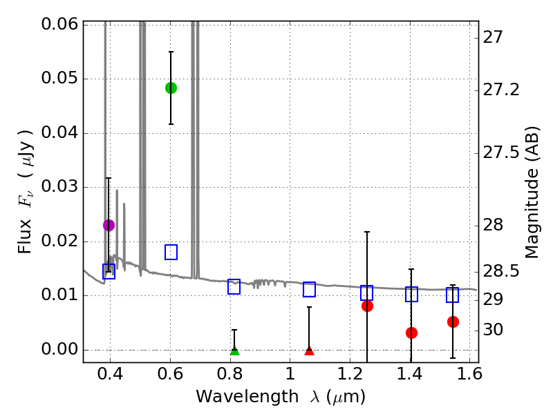
RXS0603+42-S IR detection object #2350

Color images and BPZ results
Catalog: 2350.cat
Black segments are analyzed here.   Roll mouse over color images to view segments.
Best viewed in a wide browser window (1200 pixels or more).   Download SED & P(z) plots to view larger versions.
In P(z) plots: Yellow lines mark the cluster redshift z = 0.228,  

Object #2350   x,y = (2739, 3374)   RA, Dec = (06:03:25.128, 42:10:48.72) = (90.85470, 42.18020)   BPZ = 0.031 [0.032--2.993]   type = 11.00 (SB11_A_0_l)   stellarity = 0.35   chisq2 = 8.10   ODDS = 0.05   z_cluster = 0.228