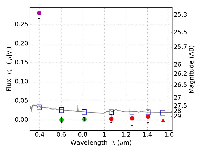
RXS0603+42-S IR detection object #2165

Color images and BPZ results
Catalog: 2165.cat
Black segments are analyzed here.   Roll mouse over color images to view segments.
Best viewed in a wide browser window (1200 pixels or more).   Download SED & P(z) plots to view larger versions.
In P(z) plots: Yellow lines mark the cluster redshift z = 0.228,  

Object #2165   x,y = (2317, 3472)   RA, Dec = (06:03:27.408, 42:10:54.48) = (90.86420, 42.18180)   BPZ = 1.699 [1.379--2.094]   type = 11.00 (SB11_A_0_l)   stellarity = 0.88   chisq2 = 70.05   ODDS = 0.57   z_cluster = 0.228