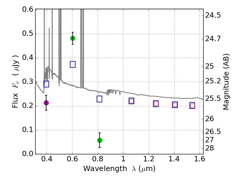
RXS0603+42-S IR detection object #2155

Color images and BPZ results
Catalog: 2155.cat
Black segments are analyzed here.   Roll mouse over color images to view segments.
Best viewed in a wide browser window (1200 pixels or more).   Download SED & P(z) plots to view larger versions.
In P(z) plots: Yellow lines mark the cluster redshift z = 0.228,  

Object #2155   x,y = (4033, 3470)   RA, Dec = (06:03:18.144, 42:10:54.48) = (90.82560, 42.18180)   BPZ = 0.021 [0.010--0.047]   type = 11.00 (SB11_A_0_l)   stellarity = 0.13   chisq2 = 32.19   ODDS = 1.00   z_cluster = 0.228