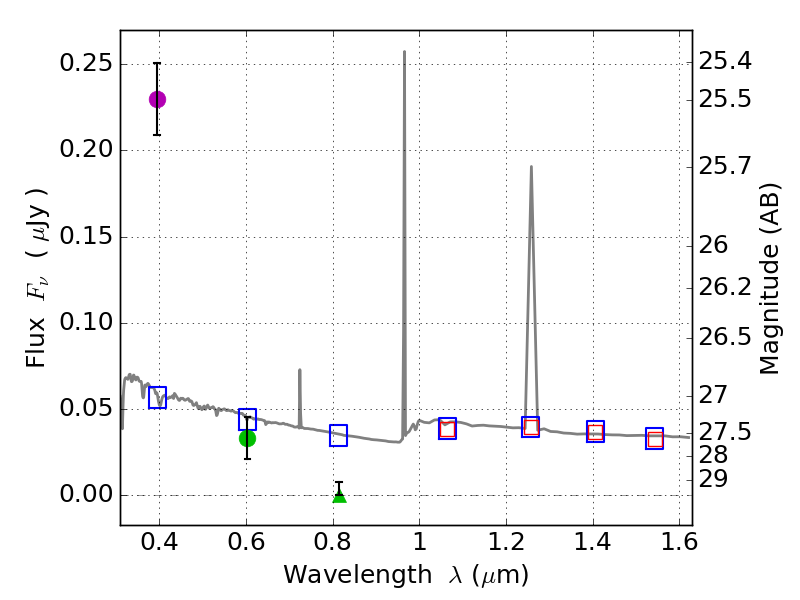
RXS0603+42-S IR detection object #1896

Color images and BPZ results
Catalog: 1896.cat
Black segments are analyzed here.   Roll mouse over color images to view segments.
Best viewed in a wide browser window (1200 pixels or more).   Download SED & P(z) plots to view larger versions.
In P(z) plots: Yellow lines mark the cluster redshift z = 0.228,  

Object #1896   x,y = (1717, 3571)   RA, Dec = (06:03:30.648, 42:11:00.60) = (90.87770, 42.18350)   BPZ = 1.594 [1.275--2.109]   type = 11.00 (SB11_A_0_l)   stellarity = 0.14   chisq2 = 83.73   ODDS = 0.39   z_cluster = 0.228