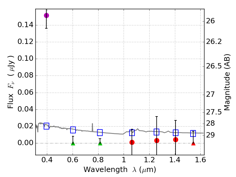
RXS0603+42-S IR detection object #1893

Color images and BPZ results
Catalog: 1893.cat
Black segments are analyzed here.   Roll mouse over color images to view segments.
Best viewed in a wide browser window (1200 pixels or more).   Download SED & P(z) plots to view larger versions.
In P(z) plots: Yellow lines mark the cluster redshift z = 0.228,  

Object #1893   x,y = (3356, 3572)   RA, Dec = (06:03:21.792, 42:11:00.60) = (90.84080, 42.18350)   BPZ = 1.699 [0.662--3.881]   type = 11.00 (SB11_A_0_l)   stellarity = 0.39   chisq2 = 20.44   ODDS = 0.25   z_cluster = 0.228