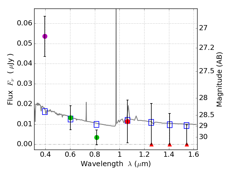
RXS0603+42-S IR detection object #1835

Color images and BPZ results
Catalog: 1835.cat
Black segments are analyzed here.   Roll mouse over color images to view segments.
Best viewed in a wide browser window (1200 pixels or more).   Download SED & P(z) plots to view larger versions.
In P(z) plots: Yellow lines mark the cluster redshift z = 0.228,  

Object #1835   x,y = (3003, 3591)   RA, Dec = (06:03:23.712, 42:11:01.68) = (90.84880, 42.18380)   BPZ = 1.612 [0.496--2.789]   type = 11.00 (SB11_A_0_l)   stellarity = 0.47   chisq2 = 4.56   ODDS = 0.21   z_cluster = 0.228