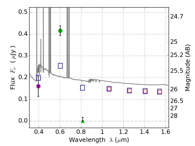
RXS0603+42-S IR detection object #177

Color images and BPZ results
Catalog: 177.cat
Black segments are analyzed here.   Roll mouse over color images to view segments.
Best viewed in a wide browser window (1200 pixels or more).   Download SED & P(z) plots to view larger versions.
In P(z) plots: Yellow lines mark the cluster redshift z = 0.228,  

Object #177   x,y = (2286, 4175)   RA, Dec = (06:03:27.576, 42:11:36.96) = (90.86490, 42.19360)   BPZ = 0.018 [0.010--0.040]   type = 11.00 (SB11_A_0_l)   stellarity = 0.06   chisq2 = 74.36   ODDS = 1.00   z_cluster = 0.228