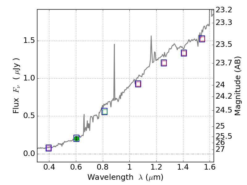
RXS0603+42-S IR detection object #1666

Color images and BPZ results
Catalog: 1666.cat
Black segments are analyzed here.   Roll mouse over color images to view segments.
Best viewed in a wide browser window (1200 pixels or more).   Download SED & P(z) plots to view larger versions.
In P(z) plots: Yellow lines mark the cluster redshift z = 0.228,  

Object #1666   x,y = (4524, 3583)   RA, Dec = (06:03:15.504, 42:11:01.32) = (90.81460, 42.18370)   BPZ = 0.767 [0.196--4.800]   type = 6.50 (Scd_B10 - Sbc_B10)   stellarity = 0.55   chisq2 = 990.00   ODDS = 0.08   z_cluster = 0.228