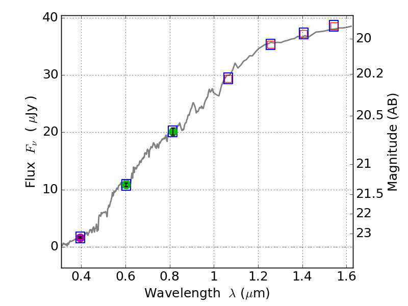
RXS0603+42-S IR detection object #1543

Color images and BPZ results
Catalog: 1543.cat
Black segments are analyzed here.   Roll mouse over color images to view segments.
Best viewed in a wide browser window (1200 pixels or more).   Download SED & P(z) plots to view larger versions.
In P(z) plots: Yellow lines mark the cluster redshift z = 0.228,  

Object #1543   x,y = (3213, 3671)   RA, Dec = (06:03:22.560, 42:11:06.72) = (90.84400, 42.18520)   BPZ = 0.203 [0.121--0.253]   type = 3.10 (Ell5_A_0 - Ell4_A_0)   stellarity = 0.20   chisq2 = 0.00   ODDS = 0.85   z_cluster = 0.228