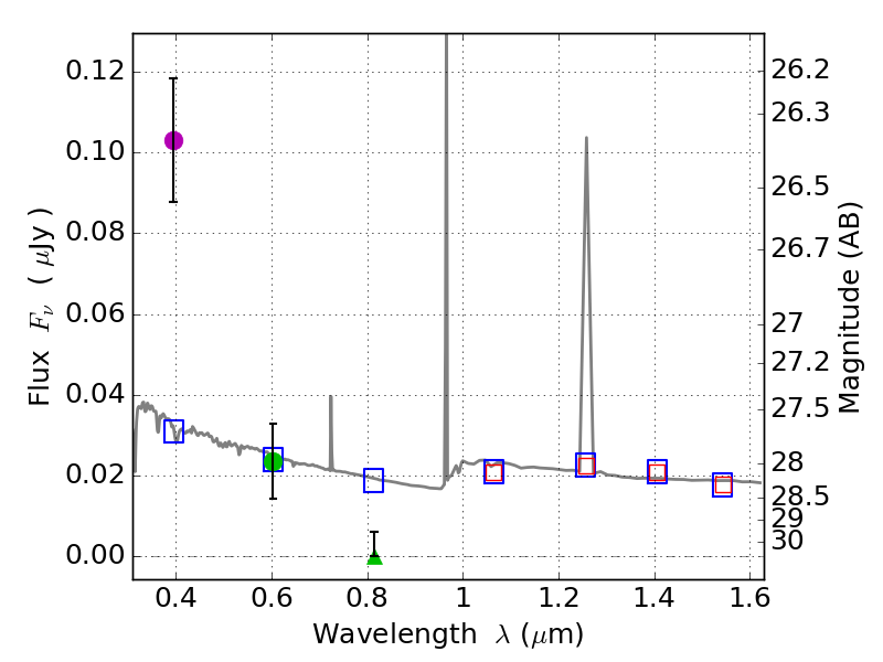
RXS0603+42-S IR detection object #1534

Color images and BPZ results
Catalog: 1534.cat
Black segments are analyzed here.   Roll mouse over color images to view segments.
Best viewed in a wide browser window (1200 pixels or more).   Download SED & P(z) plots to view larger versions.
In P(z) plots: Yellow lines mark the cluster redshift z = 0.228,  

Object #1534   x,y = (1906, 3691)   RA, Dec = (06:03:29.616, 42:11:07.80) = (90.87340, 42.18550)   BPZ = 1.595 [1.007--2.398]   type = 11.00 (SB11_A_0_l)   stellarity = 0.49   chisq2 = 30.40   ODDS = 0.26   z_cluster = 0.228