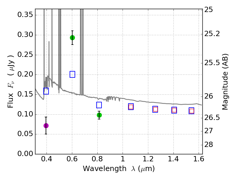
RXS0603+42-S IR detection object #1406

Color images and BPZ results
Catalog: 1406.cat
Black segments are analyzed here.   Roll mouse over color images to view segments.
Best viewed in a wide browser window (1200 pixels or more).   Download SED & P(z) plots to view larger versions.
In P(z) plots: Yellow lines mark the cluster redshift z = 0.228,  

Object #1406   x,y = (3112, 3729)   RA, Dec = (06:03:23.112, 42:11:09.96) = (90.84630, 42.18610)   BPZ = 0.022 [0.010--0.049]   type = 11.00 (SB11_A_0_l)   stellarity = 0.43   chisq2 = 32.13   ODDS = 1.00   z_cluster = 0.228