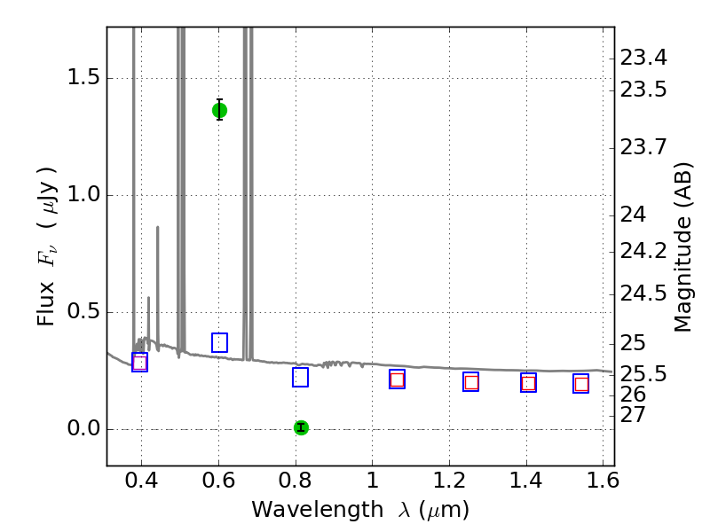
RXS0603+42-S IR detection object #1336

Color images and BPZ results
Catalog: 1336.cat
Black segments are analyzed here.   Roll mouse over color images to view segments.
Best viewed in a wide browser window (1200 pixels or more).   Download SED & P(z) plots to view larger versions.
In P(z) plots: Yellow lines mark the cluster redshift z = 0.228,  

Object #1336   x,y = (3948, 3765)   RA, Dec = (06:03:18.600, 42:11:12.12) = (90.82750, 42.18670)   BPZ = 0.016 [0.010--0.032]   type = 11.00 (SB11_A_0_l)   stellarity = 1.00   chisq2 = 451.20   ODDS = 1.00   z_cluster = 0.228