RXS0603+42-S IR detection object #1333

Color images and BPZ results
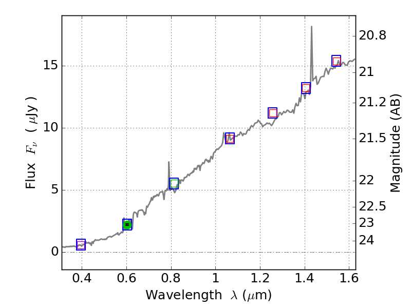
Catalog: 1333.cat
Black segments are analyzed here.   Roll mouse over color images to view segments.
Best viewed in a wide browser window (1200 pixels or more).   Download SED & P(z) plots to view larger versions.
In P(z) plots: Yellow lines mark the cluster redshift z = 0.228,  

Object #1333   x,y = (4070, 3767)   RA, Dec = (06:03:17.952, 42:11:12.48) = (90.82480, 42.18680)   BPZ = 0.580 [0.131--2.583]   type = 6.20 (Sbc_B10 - Scd_B10)   stellarity = 0.91   chisq2 = 990.00   ODDS = 0.12   z_cluster = 0.228