RXS0603+42-S IR detection object #1254

Color images and BPZ results
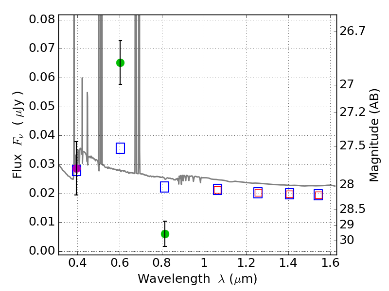
Catalog: 1254.cat
Black segments are analyzed here.   Roll mouse over color images to view segments.
Best viewed in a wide browser window (1200 pixels or more).   Download SED & P(z) plots to view larger versions.
In P(z) plots: Yellow lines mark the cluster redshift z = 0.228,  

Object #1254   x,y = (2044, 3860)   RA, Dec = (06:03:28.872, 42:11:17.88) = (90.87030, 42.18830)   BPZ = 0.026 [0.019--2.835]   type = 11.00 (SB11_A_0_l)   stellarity = 0.37   chisq2 = 24.40   ODDS = 0.11   z_cluster = 0.228