RXS0603+42-S IR detection object #1184

Color images and BPZ results
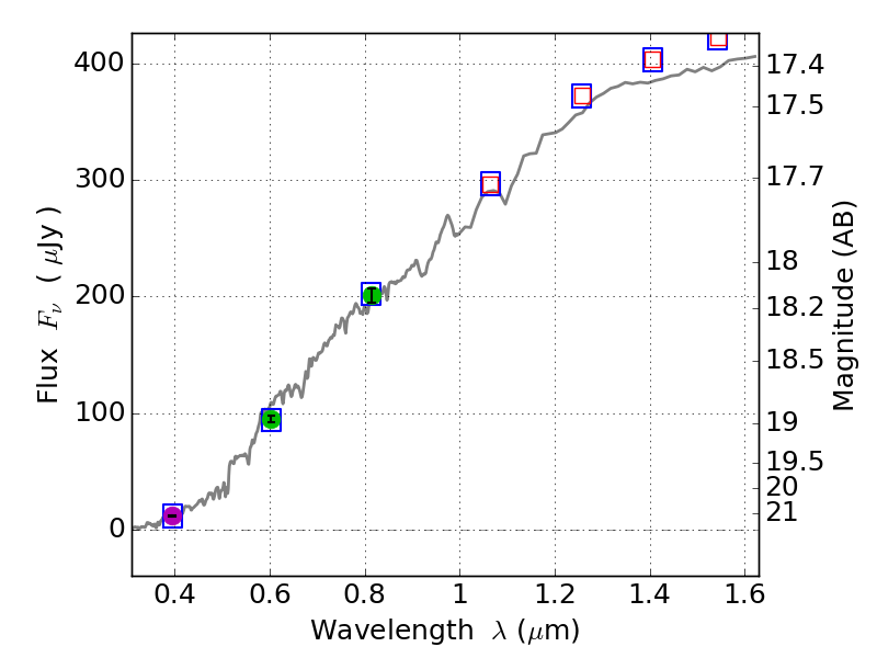
Catalog: 1184.cat
Black segments are analyzed here.   Roll mouse over color images to view segments.
Best viewed in a wide browser window (1200 pixels or more).   Download SED & P(z) plots to view larger versions.
In P(z) plots: Yellow lines mark the cluster redshift z = 0.228,  

Object #1184   x,y = (1810, 3684)   RA, Dec = (06:03:30.144, 42:11:07.44) = (90.87560, 42.18540)   BPZ = 0.295 [0.216--0.333]   type = 3.00 (Ell5_A_0)   stellarity = 0.03   chisq2 = 0.00   ODDS = 0.87   z_cluster = 0.228