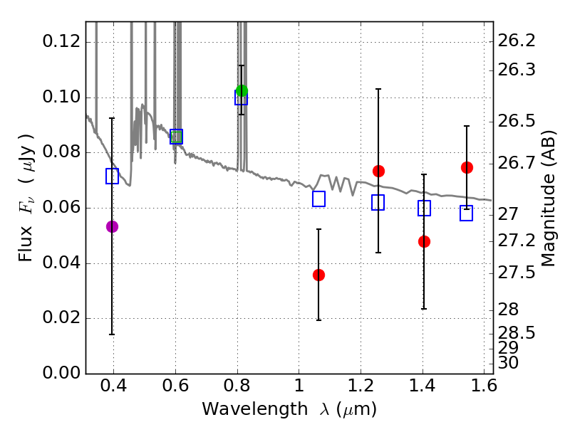
RXS0603+42-S ACS+IR detection object #7822

Color images and BPZ results
Catalog: 7822.cat
Black segments are analyzed here.   Roll mouse over color images to view segments.
Best viewed in a wide browser window (1200 pixels or more).   Download SED & P(z) plots to view larger versions.
In P(z) plots: Yellow lines mark the cluster redshift z = 0.228,  

Object #7822   x,y = (1716, 1475)   RA, Dec = (06:03:30.648, 42:08:54.96) = (90.87770, 42.14860)   BPZ = 0.234 [0.092--4.250]   type = 11.00 (SB11_A_0_l)   stellarity = 0.02   chisq2 = 1.35   ODDS = 0.28   z_cluster = 0.228