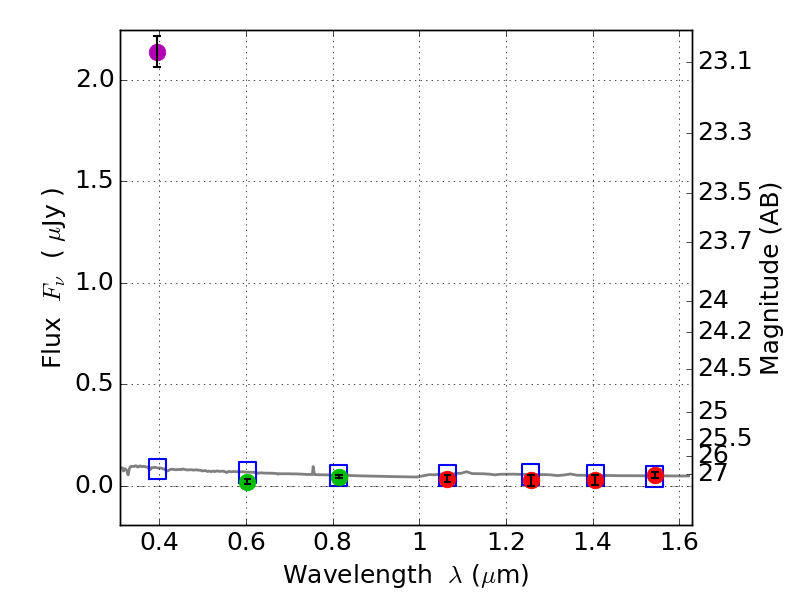
RXS0603+42-S ACS+IR detection object #7813

Color images and BPZ results
Catalog: 7813.cat
Black segments are analyzed here.   Roll mouse over color images to view segments.
Best viewed in a wide browser window (1200 pixels or more).   Download SED & P(z) plots to view larger versions.
In P(z) plots: Yellow lines mark the cluster redshift z = 0.228,  

Object #7813   x,y = (3572, 1398)   RA, Dec = (06:03:20.640, 42:08:50.28) = (90.83600, 42.14730)   BPZ = 1.701 [1.068--2.196]   type = 11.00 (SB11_A_0_l)   stellarity = 0.94   chisq2 = 186.10   ODDS = 0.37   z_cluster = 0.228