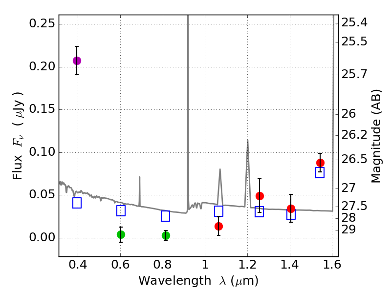
RXS0603+42-S ACS+IR detection object #5378

Color images and BPZ results
Catalog: 5378.cat
Black segments are analyzed here.   Roll mouse over color images to view segments.
Best viewed in a wide browser window (1200 pixels or more).   Download SED & P(z) plots to view larger versions.
In P(z) plots: Yellow lines mark the cluster redshift z = 0.228,  

Object #5378   x,y = (1973, 2309)   RA, Dec = (06:03:29.256, 42:09:45.00) = (90.87190, 42.16250)   BPZ = 1.471 [1.194--1.522]   type = 11.00 (SB11_A_0_l)   stellarity = 0.57   chisq2 = 28.52   ODDS = 0.70   z_cluster = 0.228