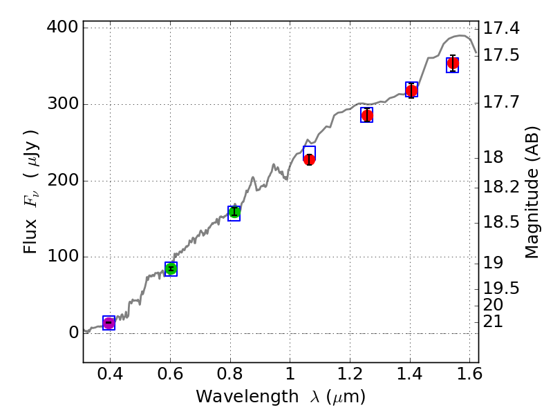
RXS0603+42-S ACS+IR detection object #4944

Color images and BPZ results
Catalog: 4944.cat
Black segments are analyzed here.   Roll mouse over color images to view segments.
Best viewed in a wide browser window (1200 pixels or more).   Download SED & P(z) plots to view larger versions.
In P(z) plots: Yellow lines mark the cluster redshift z = 0.228,  

Object #4944   x,y = (2162, 2510)   RA, Dec = (06:03:28.248, 42:09:56.88) = (90.86770, 42.16580)   BPZ = 0.156 [0.112--0.205]   type = 4.70 (ES0_B10 - Ell4_A_0)   stellarity = 0.03   chisq2 = 0.04   ODDS = 0.96   z_cluster = 0.228