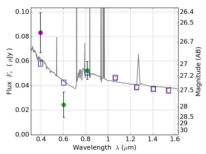
RXS0603+42-S ACS+IR detection object #3789

Color images and BPZ results
Catalog: 3789.cat
Black segments are analyzed here.   Roll mouse over color images to view segments.
Best viewed in a wide browser window (1200 pixels or more).   Download SED & P(z) plots to view larger versions.
In P(z) plots: Yellow lines mark the cluster redshift z = 0.228,  

Object #3789   x,y = (3962, 3122)   RA, Dec = (06:03:18.528, 42:10:33.60) = (90.82720, 42.17600)   BPZ = 0.929 [0.485--2.279]   type = 11.00 (SB11_A_0_l)   stellarity = 0.19   chisq2 = 5.05   ODDS = 0.19   z_cluster = 0.228