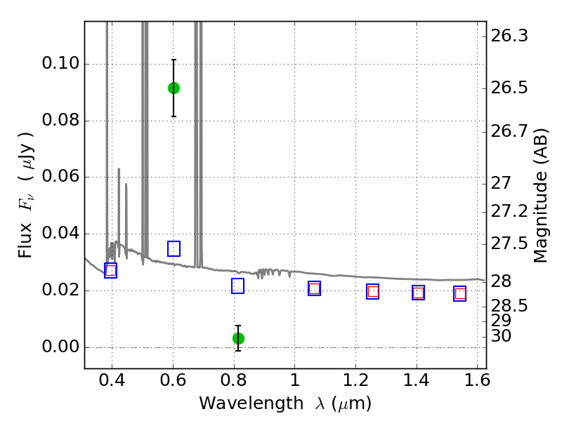
RXS0603+42-S IR detection object #952

Color images and BPZ results
Catalog: 952.cat
Black segments are analyzed here.   Roll mouse over color images to view segments.
Best viewed in a wide browser window (1200 pixels or more).   Download SED & P(z) plots to view larger versions.
In P(z) plots: Yellow lines mark the cluster redshift z = 0.228,  

Object #952   x,y = (3198, 3938)   RA, Dec = (06:03:22.656, 42:11:22.56) = (90.84440, 42.18960)   BPZ = 0.026 [0.023--3.183]   type = 11.00 (SB11_A_0_l)   stellarity = 0.65   chisq2 = 43.30   ODDS = 0.07   z_cluster = 0.228