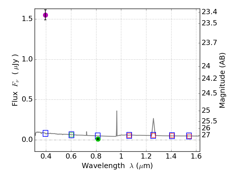
RXS0603+42-S IR detection object #933

Color images and BPZ results
Catalog: 933.cat
Black segments are analyzed here.   Roll mouse over color images to view segments.
Best viewed in a wide browser window (1200 pixels or more).   Download SED & P(z) plots to view larger versions.
In P(z) plots: Yellow lines mark the cluster redshift z = 0.228,  

Object #933   x,y = (1556, 3941)   RA, Dec = (06:03:31.512, 42:11:22.92) = (90.88130, 42.18970)   BPZ = 1.594 [1.340--2.036]   type = 11.00 (SB11_A_0_l)   stellarity = 1.00   chisq2 = 583.70   ODDS = 0.45   z_cluster = 0.228