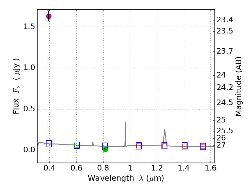
RXS0603+42-S IR detection object #883

Color images and BPZ results
Catalog: 883.cat
Black segments are analyzed here.   Roll mouse over color images to view segments.
Best viewed in a wide browser window (1200 pixels or more).   Download SED & P(z) plots to view larger versions.
In P(z) plots: Yellow lines mark the cluster redshift z = 0.228,  

Object #883   x,y = (1612, 3973)   RA, Dec = (06:03:31.200, 42:11:24.72) = (90.88000, 42.19020)   BPZ = 1.594 [1.336--2.045]   type = 11.00 (SB11_A_0_l)   stellarity = 1.00   chisq2 = 647.40   ODDS = 0.45   z_cluster = 0.228