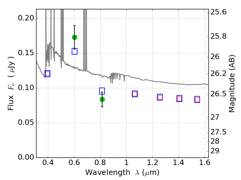
RXS0603+42-S IR detection object #873

Color images and BPZ results
Catalog: 873.cat
Black segments are analyzed here.   Roll mouse over color images to view segments.
Best viewed in a wide browser window (1200 pixels or more).   Download SED & P(z) plots to view larger versions.
In P(z) plots: Yellow lines mark the cluster redshift z = 0.228,  

Object #873   x,y = (3104, 3932)   RA, Dec = (06:03:23.160, 42:11:22.20) = (90.84650, 42.18950)   BPZ = 0.030 [0.021--2.970]   type = 11.00 (SB11_A_0_l)   stellarity = 0.89   chisq2 = 1.69   ODDS = 0.11   z_cluster = 0.228