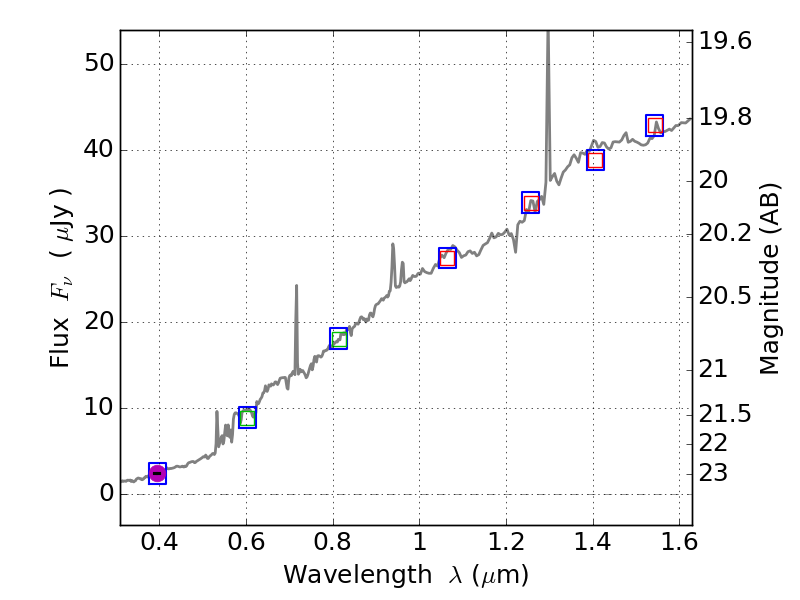
RXS0603+42-S IR detection object #737

Color images and BPZ results
Catalog: 737.cat
Black segments are analyzed here.   Roll mouse over color images to view segments.
Best viewed in a wide browser window (1200 pixels or more).   Download SED & P(z) plots to view larger versions.
In P(z) plots: Yellow lines mark the cluster redshift z = 0.228,  

Object #737   x,y = (1603, 4028)   RA, Dec = (06:03:31.248, 42:11:27.96) = (90.88020, 42.19110)   BPZ = 0.427 [0.051--0.865]   type = 6.40 (Sbc_B10 - Scd_B10)   stellarity = 0.90   chisq2 = 990.00   ODDS = 0.21   z_cluster = 0.228