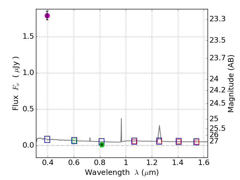
RXS0603+42-S IR detection object #7187

Color images and BPZ results
Catalog: 7187.cat
Black segments are analyzed here.   Roll mouse over color images to view segments.
Best viewed in a wide browser window (1200 pixels or more).   Download SED & P(z) plots to view larger versions.
In P(z) plots: Yellow lines mark the cluster redshift z = 0.228,  

Object #7187   x,y = (3324, 988)   RA, Dec = (06:03:21.960, 42:08:25.44) = (90.84150, 42.14040)   BPZ = 1.594 [1.368--1.985]   type = 11.00 (SB11_A_0_l)   stellarity = 0.82   chisq2 = 805.80   ODDS = 0.50   z_cluster = 0.228