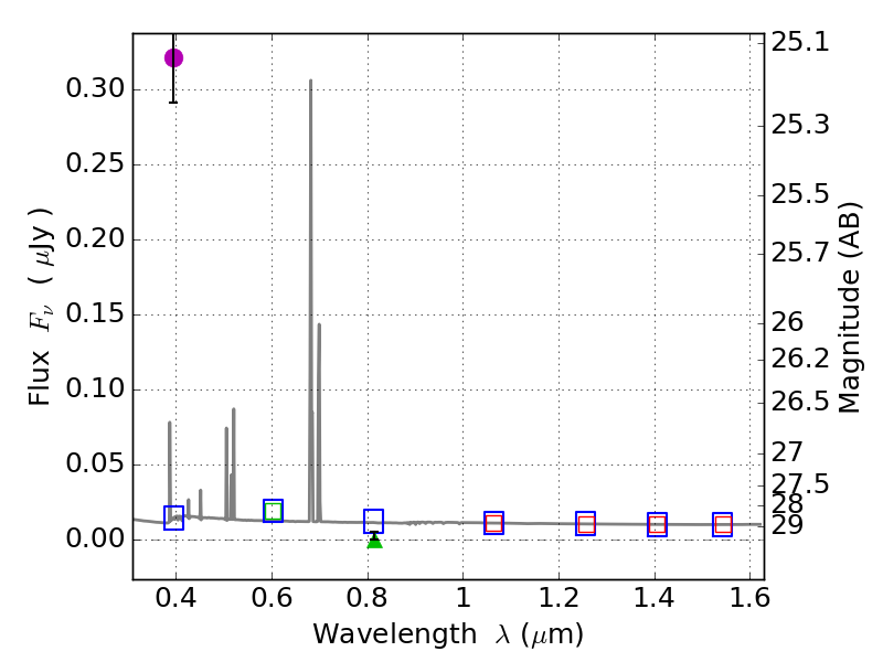
RXS0603+42-S IR detection object #7173

Color images and BPZ results
Catalog: 7173.cat
Black segments are analyzed here.   Roll mouse over color images to view segments.
Best viewed in a wide browser window (1200 pixels or more).   Download SED & P(z) plots to view larger versions.
In P(z) plots: Yellow lines mark the cluster redshift z = 0.228,  

Object #7173   x,y = (3198, 1000)   RA, Dec = (06:03:22.656, 42:08:26.16) = (90.84440, 42.14060)   BPZ = 0.037 [0.026--0.853]   type = 11.00 (SB11_A_0_l)   stellarity = 0.76   chisq2 = 108.40   ODDS = 0.11   z_cluster = 0.228