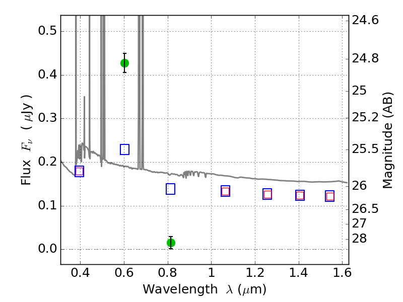
RXS0603+42-S IR detection object #7168

Color images and BPZ results
Catalog: 7168.cat
Black segments are analyzed here.   Roll mouse over color images to view segments.
Best viewed in a wide browser window (1200 pixels or more).   Download SED & P(z) plots to view larger versions.
In P(z) plots: Yellow lines mark the cluster redshift z = 0.228,  

Object #7168   x,y = (3504, 1003)   RA, Dec = (06:03:21.000, 42:08:26.52) = (90.83750, 42.14070)   BPZ = 0.018 [0.010--0.038]   type = 11.00 (SB11_A_0_l)   stellarity = 0.69   chisq2 = 91.75   ODDS = 1.00   z_cluster = 0.228