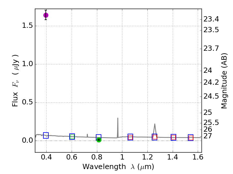
RXS0603+42-S IR detection object #7144

Color images and BPZ results
Catalog: 7144.cat
Black segments are analyzed here.   Roll mouse over color images to view segments.
Best viewed in a wide browser window (1200 pixels or more).   Download SED & P(z) plots to view larger versions.
In P(z) plots: Yellow lines mark the cluster redshift z = 0.228,  

Object #7144   x,y = (3140, 1021)   RA, Dec = (06:03:22.968, 42:08:27.60) = (90.84570, 42.14100)   BPZ = 1.594 [1.321--2.068]   type = 11.00 (SB11_A_0_l)   stellarity = 0.67   chisq2 = 676.10   ODDS = 0.43   z_cluster = 0.228